「體力與肌力會隨著年齡增長而逐漸下降」,對多數人而言,這幾乎是一種切身可感的經驗;然而,身體機能究竟在哪個年齡階段達到高峰,又是從何時開始出現明顯下滑,僅憑主觀感受其實難以準確判斷。
基於這樣的問題意識,瑞典的一個研究團隊針對並非長期從事高強度身體活動(如職業運動員)的一般人群,展開了一項長達47年的縱向追蹤研究,試圖從長時間的實證資料中,釐清人體各項身體能力隨年齡變化的實際樣貌。
Rise and Fall of Physical Capacity in a General Population: A 47-Year Longitudinal Study
https://onlinelibrary.wiley.com/doi/10.1002/jcsm.70134
47-Year Study Reveals The Age We Hit Our Physical Peak
https://www.sciencealert.com/47-year-study-reveals-the-age-we-hit-our-physical-peak
過去雖已有不少研究探討「加齡」與「體力」之間的關係,但其研究設計多屬於橫斷研究,亦即在某一時間點,將不同年齡層的族群進行比較。這類研究雖能快速描繪各年齡層之間的差異,卻未必能真實反映個體隨時間推移所經歷的變化。
隸屬於瑞典卡羅林斯卡研究所(Karolinska Institutet)的瑪麗亞・韋斯特斯托爾(Maria Wesserståhl)、古斯塔夫・約爾諾克爾(Gustav Jörneker)等人所組成的研究團隊即指出,橫斷研究可能會低估因加齡所導致的身體能力下降幅度。因此,若要更準確理解人體機能隨年齡變化的實際樣貌,有必要透過長期追蹤同一批受試者的縱向資料來進行驗證。
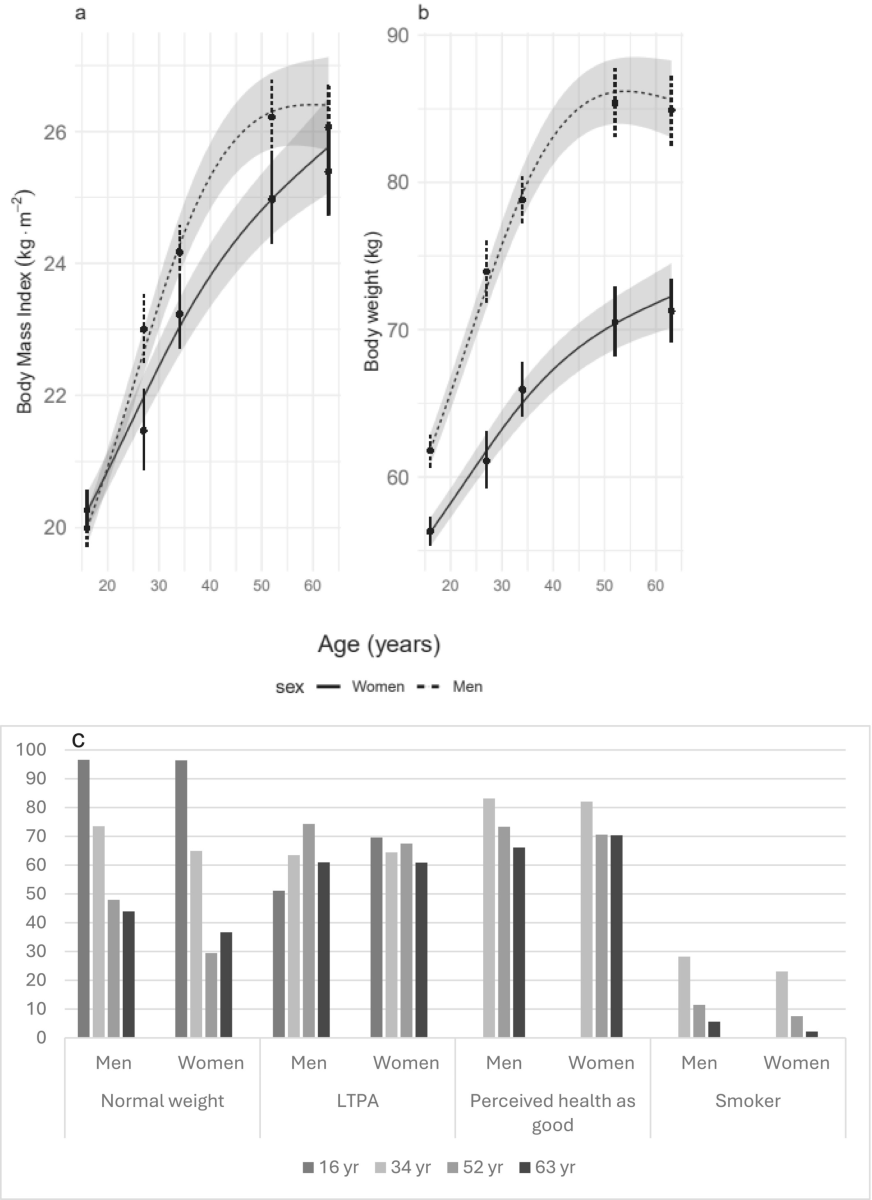
基於上述問題意識,研究團隊採用了以1958年出生的一般民眾為研究對象、探討長期身體活動與體力狀況的世代研究(cohort study)資料。這批受試者自1974年、亦即16歲時即被納入研究,並在往後數十年間持續追蹤。本次分析所使用的,為受試者在16歲、27歲、34歲、52歲與63歲等5個時間點所進行的測量資料。
考量到身體能力的變化,無法與體型及生活習慣的改變切割看待,研究團隊在分析體力變化的同時,也一併檢視了多項相關指標,包括:
BMI 與體重的年齡變化趨勢、各年齡階段相對於標準體重的比例、休閒時間身體活動量(leisure-time physical activity, LTPA)、自評健康狀態,以及吸菸比例等。
下方所示的一組圖表,彙整了上述各項因素隨時間推移的變化情形。需要補充說明的是,圖中實線代表女性、虛線代表男性,而灰色區帶則表示推估值的變動範圍。

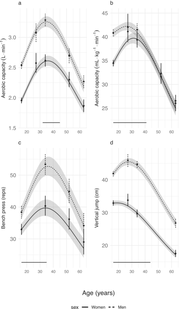
分析結果顯示,在肌耐力與推定最大有氧能力兩項指標上,性別差異並不顯著。這兩種身體能力大致在26歲至36歲之間達到高峰,其後即開始出現下滑。初期下降幅度相對緩慢,約為每年 0.3%~0.6%;隨著年齡進一步增長,下降速度明顯加快,後期可達每年 2.0%~2.5%。研究團隊在報告中指出,這種「先緩後陡」的下降曲線,是加齡對體能影響的重要特徵之一。
相較之下,瞬發力的變化趨勢則呈現出較為明顯的性別差異。研究結果顯示,男性的瞬發力約在27歲左右達到高峰,而女性則較早,約在19歲便達到峰值。此後,瞬發力最初的下降幅度約為每年 0.2%~0.5%,但隨年齡增加,衰退速度同樣會加速,最終達到每年 2%以上的下降幅度。
將上述結果依年齡階段加以整理後,彙整如以下圖表所示:上方兩張圖分別呈現有氧能力的絕對值與以體重校正後的有氧能力;左下圖顯示作為肌耐力指標的臥推反覆次數;右下圖則呈現作為瞬發力指標的垂直跳躍高度之年齡變化趨勢。

此外,研究團隊也指出,從身體能力達到高峰的時間點到 63歲時,各項身體能力的下降幅度依指標不同,約落在30%~48%的範圍內。這表示,耐力與肌力並非以相同的比例一致下降,而是依不同能力指標,各自呈現出不同程度的衰退。
研究團隊的關注重點不僅在於「高峰出現在幾歲」,也進一步留意到:即使在相同年齡,身體能力水準仍可能存在明顯差異。研究結果顯示,在16歲時就有從事餘暇身體活動的參與者,在整個觀察期間內,其有氧能力、肌耐力與瞬發力皆能維持在較高水準。
下方的圖表群即依不同項目呈現這些差異:
- 圖a:依是否具有大學學位區分的「有氧能力(絕對值:L/分)」
- 圖b:依16歲時是否有身體活動區分的「有氧能力(絕對值:L/分)」
- 圖c:依16歲時是否有身體活動區分的「有氧能力(單位體重:mL/kg/分)」
- 圖d:依是否具有大學學位區分的「肌耐力(臥推反覆次數)」
- 圖e:依16歲時是否有身體活動區分的「肌耐力(臥推反覆次數)」
- 圖f:依16歲時是否有身體活動區分的「瞬發力(垂直跳躍)」
上述所有圖表中,左側為男性,右側為女性,並依年齡順序描繪各項身體能力的變化趨勢。

此外,研究團隊亦進一步分析了:在成年之後才開始增加身體活動,是否仍能對體能帶來實質效益。研究結果顯示,即便是在成年後才變得較為活躍的參與者,其身體能力仍有機會提升,平均增幅約為 10%,研究團隊在報告中如是指出。
下方圖表則比較了在追蹤期間內,是否轉而增加身體活動量的兩組受試者,其身體能力隨年齡變化的差異趨勢。其中:
• 圖 a 顯示「有氧能力(絕對值:L/分)」
• 圖 b 顯示「有氧能力(單位體重:mL/kg/分)」
• 圖 c 顯示「肌耐力(臥推反覆次數)」
• 圖 d 顯示「瞬發力(垂直跳躍)」
在上述各圖中,實線代表於追蹤過程中開始增加身體活動的參與者之變化趨勢;虛線則代表始終未增加身體活動者的變化趨勢。

作為結論,研究團隊指出,身體能力的下降並非在進入60多歲後才突然開始,而是很可能早在30多歲中期便已悄然啟動;且隨著年齡增加,能力下降的幅度與速度亦可能逐步加劇。
研究結果同時顯示,即便長期維持運動習慣,也難以將身體能力的巔峰年齡明顯向後推延。然而,這並不意味著運動的價值有限。相反地,運動習慣仍可能與身體能力下降的速度以及可維持的整體能力水準密切相關,對於延緩衰退、維持功能表現,仍具有實質意義。
研究團隊進一步指出,有必要更深入探討「為何多數人的身體能力會在約35歲前後達到巔峰」的生理機制;同時也需釐清,即使持續進行身體活動,為何仍無法完全阻止能力下降,其背後所涉及的神經、肌肉與代謝等層面,仍是未來研究亟待回答的重要課題。
綜合而言,這項長期追蹤研究提醒我們,身體能力的變化並非一道清楚可見的分水嶺,而是一條在成年早期便已開始緩慢下行的曲線。與其將焦點放在「是否還能維持巔峰」,或期待某個年齡之後才需要開始面對衰退,不如更務實地思考:如何在不可避免的下降過程中,讓自己長時間維持在相對較高、且可自主管理的身體能力區間。
換言之,運動的意義或許不在於逆轉時間,而在於爭取餘裕。讓日常生活的選擇權、行動力與身體的可用性,能夠陪伴我們更久一些。
分類:生活雜記